1. Soil

Soils for use with the soil layer profile definition, intended for modelling of embedded piles.

The soil layer profile is defined in Soil layer profile specification.

1.1. Data group identifier, one input line

NEW COMPonent SOIL

1.2. Soil ID and type

SOIL-ID SOILMET
  • SOIL-ID: character(8): Soil ID. Must be unique.

  • SOILMET: character(8): Soil methodology.

    • = PISACLAY: lateral displacement and rotation according to PISA methodology for clay

    • = PISASAND: lateral displacement and rotation according to PISA methodology for sand

    • = PISADUNK: lateral displacement and rotation according to PISA methodology for general Dunkirk sand

The PISA* soil methodologies require a PISA soil layer profile methodology, and can not be combined with other methodologies. The lateral displacement and cross-section rotation are modelled with force-displacement (p-v) and moment-rotation (m-t) curves.

1.3. Soil PISA curves, sand and clay

normalized pisa curve parametrisation crop
Figure 1. Parametrized PISA curves

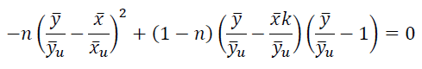
The figure above shows how the shape of PISA curves is related to four parameters k, n, Xu and Yu. The initial stiffness is given by k and ultimate values are Xu and Yu. The parameter n ranges from 0 to 1, where 0 gives a bilinear curve and 1 gives a straight line from (0,0) to (Xu,Yu). The equation below is used to define the exact shape of the curve.

normalized pisa curve parametrisation eq
Figure 2. Parametrized PISA curve equation

The initial stiffness k must satisfy the requirement k > Yu/Xu.

The following seventeen (1+4x4) lines are given if SOILMET = PISACLAY or PISASAND. The resulting curve is a `normalized' non-dimensional curve, which is scaled with physical soil layer properties defined in the soil layer profile.

CURVRES
  • CURVRES: integer, default: 50: resolution for all soil reaction curves.

Coefficients used to define parameters for lateral force-displacement (p-v) soil reaction curve.

PVKC1 PVKC2 PVKC3
PVNC1 PVNC2 PVNC3
PVXC1 PVXC2 PVXC3
PVYC1 PVYC2 PVYC3
  • PVKC1, PVKC2, PVKC3: real: p-v curve parameter k (initial stiffness).

  • PVNC1, PVNC2, PVNC3: real: p-v curve parameter n (0 <= n <= 1).

  • PVXC1, PVXC2, PVXC3: real: p-v curve upper X-value.

  • PVYC1, PVYC2, PVYC3: real: p-v curve upper Y-value.

Coefficients used to define parameters for moment-rotation (m-t) soil reaction curve.

MTKC1 MTKC2 MTKC3
MTNC1 MTNC2 MTNC3
MTXC1 MTXC2 MTXC3
MTYC1 MTYC2 MTYC3
  • MTKC1, MTKC2, MTKC3: real: m-t curve parameter k (initial stiffness).

  • MTNC1, MTNC2, MTNC3: real: m-t curve parameter n (0 <= n <= 1).

  • MTXC1, MTXC2, MTXC3: real: m-t curve upper X-value.

  • MTYC1, MTYC2, MTYC3: real: m-t curve upper Y-value.

Coefficients used to define parameters for base shear load soil reaction curve.

BSKC1 BSKC2 BSKC3
BSNC1 BSNC2 BSNC3
BSXC1 BSXC2 BSXC3
BSYC1 BSYC2 BSYC3
  • BSKC1, BSKC2, BSKC3: real: base shear load curve parameter k (initial stiffness).

  • BSNC1, BSNC2, BSNC3: real: base shear load curve parameter n (0 <= n <= 1).

  • BSXC1, BSXC2, BSXC3: real: base shear load curve upper X-value.

  • BSYC1, BSYC2, BSYC3: real: base shear load curve upper Y-value.

Coefficients used to define parameters for base moment soil reaction curve.

BMKC1 BMKC2 BMKC3
BMNC1 BMNC2 BMNC3
BMXC1 BMXC2 BMXC3
BMYC1 BMYC2 BMYC3
  • BMKC1, BMKC2, BMKC3: real: base moment curve parameter k (initial stiffness).

  • BMNC1, BMNC2, BMNC3: real: base moment curve parameter n (0 <= n <= 1).

  • BMXC1, BMXC2, BMXC3: real: base moment curve upper X-value.

  • BMYC1, BMYC2, BMYC3: real: base moment curve upper Y-value.

For each group of 3 coefficients the corresponding curve parameter is given according to the following z/D dependency: c = c1 + c2 * z/D if c3 = 0, otherwise it is c = c1 + c2 * exp(c3 * z/D). The quantities z and D are the subsurface depth and pile diameter, respectively.

1.4. Soil PISA curves, general Dunkirk sand

The following seventeen (1+4x4) lines are given if SOILMET = PISADUNK, to define the shape of soil reaction curves for general Dunkirk sand. The coefficients given here are used together with a density ratio Dr which is defined per layer in the soil layer profile. The resulting curve is a `normalized' non-dimensional curve, which is scaled with physical soil layer properties also defined in the soil layer profile. The parametrisation of PISA curves for general Dunirk sand is identical to that for other PISA curves, except that four rather than three coefficients are required.

CURVRES
  • CURVRES: integer, default: 50: resolution for all soil reaction curves.

Coefficients used to define parameters for lateral force-displacement (p-v) soil reaction curve.

PVKC1 PVKC2 PVKC3 PVKC4
PVNC1 PVNC2 PVNC3 PVNC4
PVXC1 PVXC2 PVXC3 PVXC4
PVYC1 PVYC2 PVYC3 PVYC4
  • PVKC1, PVKC2, PVKC3, PVKC4: real: p-v curve parameter k (initial stiffness).

  • PVNC1, PVNC2, PVNC3, PVNC4: real: p-v curve parameter n (0 <= n <= 1).

  • PVXC1, PVXC2, PVXC3, PVXC4: real: p-v curve upper X-value.

  • PVYC1, PVYC2, PVYC3, PVYC4: real: p-v curve upper Y-value.

Coefficients used to define parameters for moment-rotation (m-t) soil reaction curve.

MTKC1 MTKC2 MTKC3 MTKC4
MTNC1 MTNC2 MTNC3 MTNC4
MTXC1 MTXC2 MTXC3 MTXC4
MTYC1 MTYC2 MTYC3 MTYC4
  • MTKC1, MTKC2, MTKC3, MTKC4: real: m-t curve parameter k (initial stiffness).

  • MTNC1, MTNC2, MTNC3, MTNC4: real: m-t curve parameter n (0 <= n <= 1).

  • MTXC1, MTXC2, MTXC3, MTXC4: real: m-t curve upper X-value.

  • MTYC1, MTYC2, MTYC3, MTYC4: real: m-t curve upper Y-value.

Coefficients used to define parameters for base shear load soil reaction curve.

BSKC1 BSKC2 BSKC3 BSKC4
BSNC1 BSNC2 BSNC3 BSNC4
BSXC1 BSXC2 BSXC3 BSXC4
BSYC1 BSYC2 BSYC3 BSYC4
  • BSKC1, BSKC2, BSKC3, BSKC4: real: base shear load curve parameter k (initial stiffness).

  • BSNC1, BSNC2, BSNC3, BSNC4: real: base shear load curve parameter n (0 <= n <= 1).

  • BSXC1, BSXC2, BSXC3, BSXC4: real: base shear load curve upper X-value.

  • BSYC1, BSYC2, BSYC3, BSYC4: real: base shear load curve upper Y-value.

Coefficients used to define parameters for base moment soil reaction curve.

BMKC1 BMKC2 BMKC3 BMKC4
BMNC1 BMNC2 BMNC3 BMNC4
BMXC1 BMXC2 BMXC3 BMXC4
BMYC1 BMYC2 BMYC3 BMYC4
  • BMKC1, BMKC2, BMKC3, BMKC4: real: base moment curve parameter k (initial stiffness).

  • BMNC1, BMNC2, BMNC3, BMNC4: real: base moment curve parameter n (0 <= n <= 1).

  • BMXC1, BMXC2, BMXC3, BMXC4: real: base moment curve upper X-value.

  • BMYC1, BMYC2, BMYC3, BMYC4: real: base moment curve upper Y-value.

For each group of 4 coefficients the corresponding curve parameter is given according to the following r and Dr dependency: c = (c1*Dr + c2)*r + c3*Dr + c4.

For the p-v and m-t curves the ratio r is z/D, except for the Y-values where it is z/L. For the base shear and base moment curves the ratio r is L/D. The quantities z, D and L are the subsurface depth, pile diameter and embedded depth of the pile, respectively. The relative density Dr is given in the soil layer profile.

1.5. Soil damping factor, PISA

The following line is given if SOILMET = PISACLAY, PISASAND or PISADUNK.

DMPPV DMPMT DMPBS DMPBM
  • DMPPV: real, default: 0.0: Damping factor for p-v curve (DMPPV >= 0.0).

  • DMPMT: real, default: 0.0: Damping factor for m-t curve (DMPMT >= 0.0).

  • DMPBS: real, default: 0.0: Damping factor for base shear load curve (DMPBS >= 0.0).

  • DMPBM: real, default: 0.0: Damping factor for base moment curve (DMPBM >= 0.0).

The damping factors must currently be zweo.

Stiffness proportional damping is applied with respect to displacements along the axis defined by the corresponding curve (either lateral deflection or cross-section rotation) with the provided factor used together with the initial stiffness of the curve to produce a constant stiffness proportional damping (Rayleigh damping with only stiffness term).